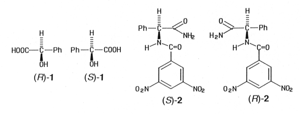
Scientists from Cambridge succeeded in discriminating the enantiomers of mandelic acid by chemical force microscopy (CFM) at the near-molecular level. Two types of (R)- und (S)- derivatives of mandelic acid were bound to gold surfaces for that purpose1. An atomic force microscope (AFM)2, which usually yields submicroscopic or molecularly resolved images by scanning of surfaces with chemically inert tips at preset force3, was used. The differentiation of (R)- and (S)-mandelic acid 1 requires chiral selectors such as (R)- or (S)-phenylglycine derivative 2 that are bound to the tip.
Separations of enantiomers by crystallization, chromatography, distillation or enzymatic (biotechnological) techniques4 rest on differences of the chemical forces between the two enantiomers of a racemate and a chiral selector. Thus, the combinations (R)-1/(R)-2 or (S)-1/(S)-2 experience a chemical force that is different from that of the diastereomeric combinations (R)-1/(S)-2 or (S)-1/(R)-2. Chiral CFM-studies fix the chiral selector to the AFM tip (here (R)- or (S)-2) and recognize the molecular chirality at the sample.

CFM techniques are frequently used in biochemistry. They find important applications for the study of hydrophobic/hydrophilic interactions, bonding forces of DNA base pairs, or interaction forces between biotin and streptavidin5-7. Generally, the forces between 1-20 molecule pairs from substrate and tip are measured and frequently the direct determination of the force between one single molecular pair is possible. Most frequently, the organic molecules in self-organizing monolayers are fixed by the reaction of thiol groups to gold surfaces8. AFM-tips and Si-wafers are coated with gold for that purpose and reacted with the thiol groups of proper substrates.
In the case of the enantiomers 1 and 2 these were substituted at their OH- and NH2-groups with long-chain alkylthiol groups. The formulas in Figure 1 show the results after the reaction with the gold surfaces for the combinations (S)-3/(S)-4 and (S)-3/(S)-5.
If the coated AFM-tip 3 is approached to the monolayer, attractive forces ensue due to complex formation between molecular pairs that ensue from tip-sample interaction. These forces are observed as so called adhesion forces and measured as &qout;pull-off forces": the tip is pulled from the surface up to rupture.
Fig. 1. Scheme for the interaction of an asymmetrically coated AFM-tip (S)-3 with the self-organized asymmetric monolayer (S)-4 (left) and (S)-5 (right).
One and the same tip (S)-3 gave mean adhesion forces of 0.4 with (S)-4 and 1.2 nN with (R)-4 monolayer. These differences are remarkably distinct, although the absolute forces are minute. The force for a single molecular pair was not determined in this case1. Anyhow, the complementary values for an (R)-3 tip with (R)-4 monolayer were 0.5 and with (S)-4 1.1 nN. Thus, an excellent reproducibility of the tip preparation was demonstrated.
Similarly, the interaction of (S)-3 (the same tip) with (S)-5 (0.5 nN) and (R)-5 (1.1 nN) gave adhesion forces that were about twice as large at the stronger combination when compared to the weaker one in the second system studied.
These results demonstrate chiral recognition with CFM for the first time1. They suggested space-resolved AFM with asymmetrically coated tips. However, normal AFM with typically 10 nN preset force was not sensitive enough here. More sensitive is lateral force microscopy (LFM)3. As expected, purposely constructed chiral domain structures of (R)-4 next to (S)-4 could be clearly distinguished with an (S)-3 tip in LFM mode1. Even better systems with stronger forces as in the cases of 3 and 4 or 5 will be undoubtedly found. It is to be expected that these will be easily discriminated with chiral CFM, LFM and AFM.
Apart from the principal interest in chiral phenomena, possible applications of chiral supramolecular organization may be envisaged. An emerging field of nanostructuring may use the spontaneous separation of racemates to give uniform domains in stable monolayers. Chirality gratings would be formed and might be used for many practical applications if their characterization is possible by chiral AFM tips. Even the just recently realized reliable scanning near-field optical microscopy (SNOM)3,9 with cold and sharp tips may find new important applications by the possibility of high resolution local circular dichroism: electromagnetic interactions are independent of bond strengths and are thus particularly versatile.